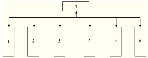
树形结构网站如同一颗枝繁叶茂的树木,由主干、主分支、子分支、叶子四部分组成。主干相当于网站的主页,主分支相当于二级栏目,子分支相当于三级、四级栏目(某些简单的企业网站可能会省略三级、四级栏目),叶子相当于每个栏目的子页面或者最终页面,而所有的这些都是决定关键词排名的因素。
树状结构的示意图如上图所示,如果单看图有些抽象的话,具体到网站实例中对应的URL如下:
主干:www.admin5.com
主分支:www.admin5.com/article/
子分支:www.admin5.com/article/20160621/
叶子:www.admin5.com/article/20160621/670597.shtml
不难理解,670597.shtml就是20160621栏目的子页面(编者注:子页面不同于子栏目,如/20160621/是/article/的子栏目,而670597.shtml是/20160621/栏目的子页面,也是/article/栏目的最终页面,请读者加以区分)
树状结构网站优势:
大型网站多采用树状结构,因为大型网站本身权重就已经很高,其二级甚至三级栏目的权重会高于一些新站首页的权重,因此可以利用二级栏目、三级栏目这类的“分支”,做其他相关关键词的排名,而且每个新增栏目也会在搜索引擎快速获得比较高的权重,这一点是平行结构网站所欠缺的。
树状结构网站劣势:
需要对每个栏目都进行维护,内容建设方面也需要经常更新原创文章,并且维护困难,不利于做单一的关键词,换言之就是不利于集中单个关键词的权重。
开源程序:
dedecms、phpcms等,都是开源的树状结构网站管理系统。
扁平结构型网站的示意图如上图所示:以网站首页为起点,延伸出的页面都是以网站主域名为基础的页面或栏目,同样网站实例以对应的URL为例说明:
起点:www.admin5.com
分支1:www.admin5.com/start/
分支2:www.admin5.com/webmaster/
分支3:www.admin5.com/marketing/
扁平结构型网站优势:
做单一关键词排名较快于树状结构网站,首页权重得以集中,适合于做单一产品的企业官方网站。
扁平结构型网站劣势:
流量达到一定程度以后难以提升,难以拓展关键词,并且网站结构形式单一,网站跳出率高。
开源程序:
phpthink onethink
总结:树状结构网站和扁平结构的网站各有千秋,诸位读者可以根据自身需求选择用哪个结构来建设自己的网站。


